Groundbreaking research on many-body localization
Researchers from the National High Magnetic Field Laboratory (NHMFL), led by Research Professor Dragana Popović, have achieved a groundbreaking milestone in studies of many-body localization (MBL). Their observation of MBL-like, prethermal dynamics in a strongly disordered, two-dimensional (2D) electron system in Si metal-oxide-semiconductor field-effect transistors (MOSFETs) was published in Nature Communications. The article by L. J. Stanley et al. was selected for Editors' Highlights webpage of recent research in Condensed Matter and featured in the open collection on “Quantum Many-Body Dynamics”. The work was supported by the National Science Foundation.
MBL is realized in isolated, sufficiently disordered quantum many-body systems. When taken out of equilibrium, systems exhibiting MBL fail to thermalize, and quantum information encoded in the initial state can persist for longer times. MBL-like dynamics were reported previously in several synthetic quantum many-body systems, such as superconducting qubits, ultracold atoms in optical lattices, trapped ions, and spins of nitrogen-vacancy centers in diamond. However, experiments on much larger systems, in particular on real materials with Coulomb interactions, are vital to provide insights into key questions regarding the existence and stability of MBL, especially in higher dimensions. The NHMFL research team reported the first observation of prethermal dynamics in an electronic system and clarified the effects of the interaction range on the fate of glassy dynamics and MBL in 2D. The prethermal dynamics was found to persist even up to several hours!
By establishing a new, versatile solid-state platform for the study of MBL, this work also opens new possibilities for further investigations, such as noise measurements as a probe of ergodicity breaking and quantum entanglement. Indeed, one of the key open questions are the dynamical signatures of MBL in systems of large sizes compared to those of glassy systems. Understanding MBL in 2D may be also important for topologically protected quantum computing away from low temperatures.

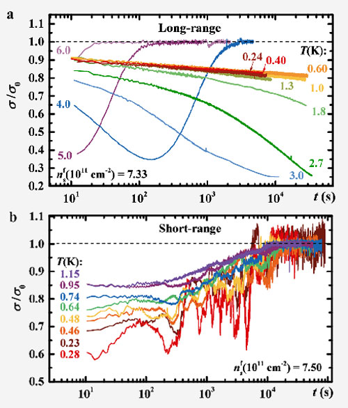
Evolution of conductivity (σ) with time (t) following a quantum quench in which the carrier density in the 2D layer is changed instantaneously to a lower value (nsf). The curves are normalized by the stationary value in the final state at a given temperature. a For a long-range, ~1/r Coulomb interaction, the dynamics is glassy, as confirmed in a series of earlier studies. b For a short-range, screened Coulomb interaction (~1/r3), the dynamics exhibits MBL signatures: no visible relaxations at intermediate times and thermalization time that is set by the thermal coupling to the environment (not shown).